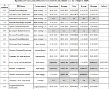
расписание приемов специалистов МСЧ № 32
с 21 по 25 апреля
ЗАПИСАТЬСЯ на прием к врачу вы можете:
Через Единый портал государственных услуг, в разделе «Здоровье»;
Через ведомственный портал медицинских услуг ФМБА России
reg.fmba.gov.ru;
При обращении в регистратуру при личном посещении поликлиники;
По телефону колл-центра: 8(34377)3-55-88
Женская консультация: +79126895363, 8(34377) 7-17-08
Стоматологическое отделение: 8(34377) 3-56-03
ПРИВИВОЧНЫЙ кабинет работает с 08:15 до 13:00, с 13:30 до 16:00.
ФИЛЬТР-бокс для пациентов с признаками респираторных заболеваний: с понедельника по пятницу с 8:00 до 16:00 (прием пациентов до 15:45, технологический перерыв с 12.00 до 13.00).
МСЧ №32 ФМБА России

